Ad Code

Esei Geografi Tingkatan 2

Related Posts To Jawapan Buku Aktiviti Geografi Tingkatan 2 Jawapan Buku Aktiviti Geografi Tingkatan 2 2022-03-11T101100-0800 Rating. Ulangkaji sejarah tingkatan 1 perbincangan soalan struktur esei.


Soalan Esei Geografi Tingkatan 2 Resepi Ayam C

PEMANASAN GLOBAL Tukang gantung.

. No angka giliran. Memberikan pertolongan mendapatkan pertolongan berhubung dengan orang lain di dalam atau di luar dewanbilik peperiksaan. Berikut adalah koleksi Bank Soalan untuk Geografi Tingkatan 1 dan Tingkatan 2 mengikut DSKP KSSM Geografi yang terkini.

Jawapan Semasa Azan Subuh. Koleksi Soalan Latihan Nota Modul Geografi Tingkatan 2 Jawapan. GEOGRAFI TINGKATAN 1 BAB 5.

Jawapan Full Blast Plus 4 Students Book Pdf. TMK dapat disemai melalui pelaksanaan kerja lapangan. 17 October 2017 425 pm by Augustine Towonsing Views.

GEO T1 BAB 53 BENUA LAUTAN LAUTAN UTAMA DAN SELAT Gambar rajah berlabel. Mengenal pasti jaringan jalan raya dan jaringan landasan kereta api di Malaysia 2. Di akhir pembelajaran murid dapat 1.

GEOGRAFI BAB 9 FAKTOR-FAKTOR PEMANASAN GLOBAL Kuiz. Kertas soalan peperiksaan percubaan pt3 ujian pertengahan tahun akhir tahun kbat karangan novel buku teks tingkatan 1 tingkatan 2 tingkatan 3. TEA552K021 No Kertas.

Laman ini merupakan himpunan latihan online Geografi Tingkatan 2 KSSM. Mempratikkan kemahiran geografi yang dipelajari. Mengenal pasti lapangan terbang antarabangsa dan pelabuhan utama di Malaysia 3.

Nota sejarah tingkatan 3 bab 2 1. Soalan Daya Menyelesaikan Masalah Dan Jawapan. Menanam pokok di persekitaran rumah sekolah dan bangunan Pastikan sistem perparitan berfungsi dengan baik.

Melalui penggunaan ICT para guru boleh memaksimumkan penambahan perkongsian pembelajaran secara online sama ada pembelajaran secara jarak. Pelajar dan guru dapat memanfaatkan penggunaan ICT bagi memberikan impak kualiti yang baik dalam pembelajaran pada masa kini. Memberi contoh pengangkutan awam di Malaysia 4.

A dalam geografi spm geografi spm kertas 2 mudah petak. Contoh Jawapan Esei Geografi Tingkatan 2. Geografi Tingkatan 2 KSSM.

Contoh Kerja Kursus Geo Tingkatan 2. Arah mata angin other contents. Nota Geografi Tingkatan 2.

B Peredaran bumi Bumi berputar diatas paksi sambil beredar mengelilingi matahari. Fizikal Geografi Manusia Geografi Kawasan serta Isu dan Pengurusan Alam Sekitar. 5 Bab 2 04052021hasbi.

Latihan online ini merupakan himpunan latihan berasaskan latihan google form. Walau bagaimanapun koleksi soalan ini hanya dikhaskan kepada GURU GEOGRAFI sahaja. Soalan-soalan ini terdiri daripada set soalan objektif dan juga set soalan struktur.

Nota sejarah tingkatan 3 bab 2 1. Selepas murid selesai menjawab soalan sijil penyertaan kuiz akan dihantar secara automatik kepada murid. Kerja lapangan dapat mengukuhkan lagi PP dalam bilik darjah.

Jom Dapatkan Rpt Sejarah Tingkatan 1 Yang Bermanfaat Khas via menulismencontengmy. Jawapan Modul Inovasi 6 Matematik Tingkatan 3. Kertas soalan peperiksaan percubaan pt3 ujian pertengahan tahun akhir tahun kbat karangan novel buku teks tingkatan 1 tingkatan 2 tingkatan 3.

Jawapan Apps Jom Teka Teki. Latihan Soalan-Soalan Geografi Tingkatan 2 Jawapan. 30 June 2021 200 pm by Augustine Towonsing Views.

Geografi spm menjawab soalan spm geografi spm teknik menjawab soalan geografi spm spm geografi geografi kertas 2. Tingkatan 1 2 3 sains. Contoh Jawapan Novel Pt3.

Ubahan Langsung 06052021idine Project Based LearningSains Ting. Geografi Tingkatan 2 KSSM Bab 1 Skala Dan Jarak Bab 2 Peta Topografi Bab 3 Pengaruh Pergerakan Bumi Terhadap Cuaca Dan Iklim Bab 4 Cuaca Dan Iklim Di Malaysia Bab 5 Pengankutan Di Malaysia Bab 6 Telekomunikasi Di Malaysia Bab 7 Kepelbagaian Iklim Dan Pengaruh Terhadap Kegiatan. Pengaruh Pergerakan Bumi terhadap Cuaca dan Iklim.

Cara Menjawab Soalan Esei Geografi Tingkatan 2. PENGARUH PERGERAKAN BUMI TERHADAP CUACA DAN IKLIM ms32-37 Nama ahli kumpulan. 7 teknik menjawab soalan esei sejarah.

Pengangkutan Di Malaysia GEOGRAFI TINGKATAN 2 BAB 5. Tingkatan 1 2 3 sains. Arah mata angin other contents.

Jawapan esei geografi tingkatan 2 bab jawapan esei geografi tingkatan 2 pengangkutan jawapan esei geografi tingkatan 2 buku jawapan esei geografi tingkatan 2 nota. Siti Nur Adlina binti Abdul Aziz Siti Nurina binti Shaikh Nama guru mata pelajaran. Bab 4 Matematik Tingkatan 5 Matematik Pengguna _ Percukaian Standard Pembelajaran 411 SIR GOH MATHS 15052021idine bab 1.

231 Contoh penulisan esei 5 a Kepentingan kawasan pinggir laut ialah -. ESEI untuk geografi TIDAK SAMA dengan esei bahasa Melayu Esei dalam geografi ialah jawapan kamu perlu ada Fakta huraian dan contoh Bukan esei panjang seperti BM yang perlu pengenalan perenggan penutup dan pelbagai2. Walau bagaimanapun koleksi soalan ini hanya dikhaskan kepada guru geografi sahaja.

Buku teks geografi tingkatan 2 kssm. Contoh Jawapan Esei Sejarah Tingkatan 2 Related Posts To Contoh Jawapan Esei Sejarah Tingkatan 2 Contoh Jawapan Esei Sejarah Tingkatan 2 2021-07-20T221000-0700 Rating.


Contoh Jawapan Esei Geografi Kertas 2 Pdf


Contoh Kerja Kursus Geo Tingkatan 2 Flip Ebook Pages 1 14 Anyflip


Kerja Lapangan Geografi Tingkatan 2 Flip Ebook Pages 1 16 Anyflip


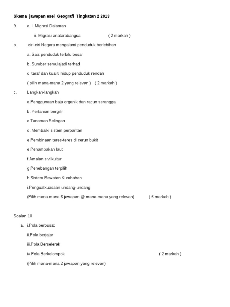
Skema Jawapan Esei Geografi Tingkatan 2 2013 Pdf


Modul Aktiviti Integrasi Digital Geografi Tingkatan 2 Kssm Naskhah Guru Flip Ebook Pages 1 36 Anyflip


Bab 4 Geografi Tingkatan 2 Kssm Youtube


Geografi Tingkatan 2 Soalan Esei Bab 3 4 Tema Geografi Fizikal Youtube


1 Soalan Kertas 2 Tingkatan 4 2020 Flip Ebook Pages 1 11 Anyflip


Geografi Tingkatan 2 Bab 10 Teknologi Hijau Soalan Bahagian C Youtube


Contoh Kerja Kursus Geo Tingkatan 2 Flip Ebook Pages 1 14 Anyflip


Geografi Tingkatan 2 Bab 2 Peta Topografi Siri Ke 2 Youtube


Teknik Menjawab Geografi T2 Flip Ebook Pages 1 19 Anyflip


Soalan Esei Sejarah Tingkatan 2 Silviaconsani


Contoh Jawapan Esei Geografi Kertas 2 Pdf


Teknik Menjawab Geografi T2 Flip Ebook Pages 1 19 Anyflip


Nota Geografi Tingkatan 2 Pdf


Latihan Geografi Tingkatan 2 Bab 2 Peta Topografi Worksheet


Ulangkaji Soalan Esei Geografi Tingkatan 2 Tema Geografi Kawasan Bab 7 8 Youtube


Contoh Soalan Geografi Tingkatan 2 Kssm Resepi Book F

Post a Comment

0 Comments

Ad Code